Journal of Diagnostics Concepts & Practice ›› 2025, Vol. 24 ›› Issue (05): 518-528.doi: 10.16150/j.1671-2870.2025.05.007

• Original articles • Previous Articles     Next Articles

Synergistic expression of survivin and TK1 in breast cancer tissues and its clinical significance

XU Tu1a, SHI Chuntao1a, HAN Wei2a, YAO Liqian2b, CHEN Chaobo1a, FANG Ling1b, GU Tingting2b()   

  1. 1a. Department of General Surgery, 1b. Department of Dermatology, Xishan People's Hospital of Wuxi City, Jiangsu Wuxi 214000, China
    2a. Department of General Surgery, 2b. Department of Pathology, The First People's Hospital of Kunshan, Jiangsu Kunshan 215300, China
  • Received:2025-04-21 Revised:2025-05-29 Accepted:2025-06-21 Online:2025-10-25 Published:2025-10-23
  • Contact: GU Tingting E-mail:15152883536@163.com

Abstract:

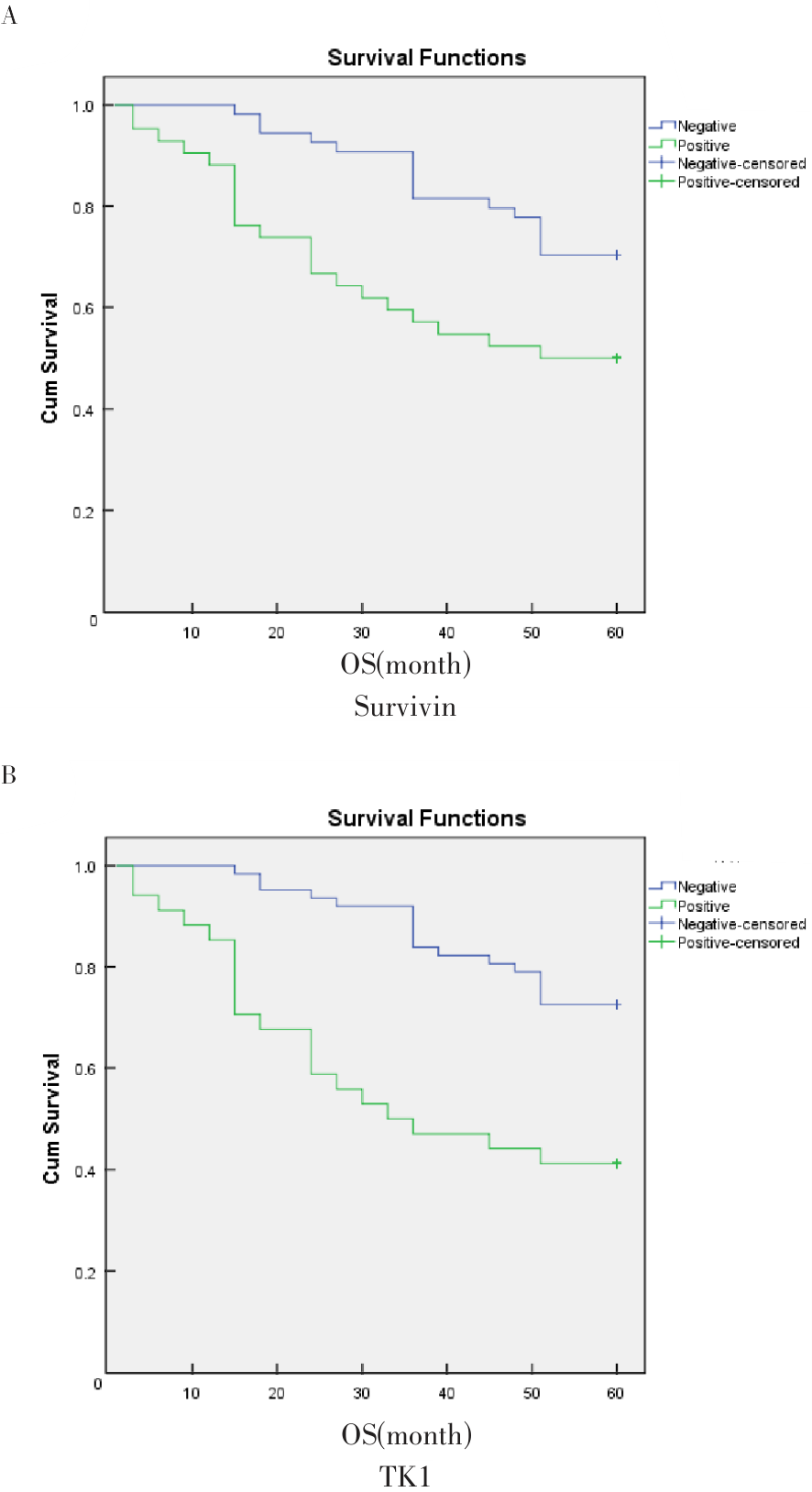
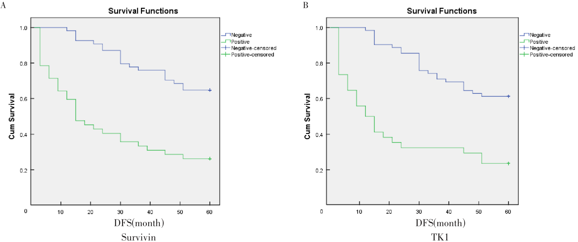
Objective This study aims to analyze the expression of survivin/BIRC5 and its related genes in breast cancer, as well as their clinicopathological and prognostic roles. Methods The Gene Expression Profiling Interactive Analysis (GEPIA) database was used to analyze survivin expression differences between breast cancer and normal breast tissues, identify the gene most strongly correlated with survivin, and evaluate their association with breast cancer stages. The Kaplan-Meier plotter database was used to assess the relationship between the expression of survivin and related genes and prognosis of breast cancer patients. Immunohistochemistry (IHC) was performed on 96 postoperative breast cancer tissue specimens, collected from January 2016 to March 2019, to validate the expression of survivin and related genes, analyze their correlation, and assess clinicopathological and prognostic significance (5-year overall survival [OS] rate and 5-year disease-free survival [DFS] rate). Results Bioinformatics analysis of the GEPIA database showed that survivin expression was significantly elevated in breast cancer tissues. The gene with the strongest correlation with its expression was thymidine kinase 1 (TK1), which was also over-expressed in breast cancer tissues. Both of them exhibited synergistic expression, increasing with advanced cancer stages (P<0.05) and correlating negatively with recurrence-free survival in breast cancer patients (P<0.001). IHC results from postoperative tissue samples confirmed a significant positive correlation between survivin and TK1 expression levels. Survivin expression correlated with lymph node metastasis and TNM stage (P<0.01), while TK1 correlated with histological grade, lymph node metastasis, and TNM stage (P<0.05). Survivin and TK1 co-expression was observed in 28 cases (29.17%), showing significant associations with higher histological grade, lymph node metastasis, and advanced-stage disease (P<0.05). In prognostic analysis, the five-year OS rate and five-year DFS rate were 61.5% and 47.9%, respectively. Positive survivin (OS HR=2.225, 95%CI: 1.160-4.271, P=0.016; DFS HR=3.594, 95%CI: 2.018-6.401, P<0.001) and TK1 (OS HR=3.176, 95%CI:1.658-6.083, P<0.001; DFS HR=3.609, 95%CI: 2.057-6.330, P<0.001) predicted poorer prognosis, with co-expression showing higher hazard ratios (5-year OS HR=4.486, 95%CI: 2.335-8.617, P<0.001; 5-year DFS HR=4.469, 95%CI: 2.515-7.942, P<0.001). Conclusions Survivin and TK1 exhibit strong synergistic expression in breast cancer tissues. Their co-expression indicates high grade, lymph node metastasis, advanced stage, and poor prognosis. The combined detection of survivin and TK1 is of great significance for evaluating the clinicopathology and prognosis of breast cancer.

Key words: Breast cancer, Survivin, Thymidine kinase1, Clinicopathology, Prognosis

CLC Number: